東光高岳技報 No.12 2025

耐熱紙使用変圧器の劣化診断が可能な新規評価技術の開発

陳 誠 Cheng Chen 出井 和弘 Kazuhiro Idei 栗原 二三夫 Fumio Kurihara

既設受変電設備の高経年化に伴い,変圧器メンテナンスのスマート化が求められている。東光高岳では,センシングにより油温と油中水分量を連続で感度良く測定することで,巻線絶縁紙の劣化度を推定する技術の開発を進めている。近年,変圧器の温度上昇限度格上げのため,耐熱性を付与した絶縁紙を巻線に使用した変圧器の普及が進んでいるが,従来の劣化診断手法が適用できない事例が報告されており,代替となる劣化診断手法が必要とされている。そこで,センシングによる劣化度の推定が,耐熱紙を使用した変圧器に適用できるか検討を行った結果,適用できる可能性が示唆された。

1はじめに

1.1 変圧器メンテナンスのスマート化に向けた動き

デジタル化が進む現代において,急速に進展する技術革新や既設受変電設備の高経年化,少子高齢化に伴う産業構造変化などの課題へ対応するため,IoTやAIを活用し,安全性と生産性の向上を両立させる「スマート保安」の取り組みが経済産業省主導のもと官民連携で進められている(1)。さらに,各電力機器メーカーにおいても,さまざまな変電所監視・診断システムが検討,実現されている。特に,変圧器メンテナンスの分野においては,安定稼働の担保や予知保全,保守効率向上といった観点で,センシング技術,IoT技術による変圧器の状態監視や診断・解析技術を用いた機器メンテナンスのスマート化が求められている。

1.2 変圧器の状態診断

変圧器内部で放電異常や過熱異常が発生した際には,絶縁油が異常時の熱エネルギーによって分解され,水素をはじめとする絶縁油の分解ガスが生成される。変圧器の内部異常を早期に検出する手段として,変圧器から採油した絶縁油中の溶存ガス分析を行うことによる変圧器内部異常診断が広く用いられている。

また,変圧器の寿命については巻線に用いられる絶縁紙の劣化により平均重合度注1)(以下,DP)の低下することで決まる(2)。しかし,稼働中の変圧器から絶縁紙を採取して分析することはできない。そこで,絶縁紙の劣化時に生成され油中に溶存する二酸化炭素と一酸化炭素(以下,CO2+CO)やフルフラール注2)といった劣化生成物の濃度を分析し,間接的に変圧器の経年劣化診断を行う手法が広く用いられている。

センシング技術,IoT技術により上記のような異常診断・劣化診断をオンラインで実施できれば予知保全,保守効率向上に寄与するため,東光高岳では変圧器メンテナンスのスマート化に向け,センシング技術による異常診断・劣化診断に関する研究を進めている。

これまでの研究で,異常診断については,油中水素の生成挙動を油中水素センサにより連続で感度良く監視することで,その挙動から変圧器内部の放電異常や過熱異常を診断できる可能性を確認している(3)。また,劣化診断については,変圧器内部では巻線絶縁紙の劣化に伴って,絶縁油-絶縁紙間の水分平衡関係注3)が変化することに着目し,変圧器内の油温変化に伴う油中水分量の変化を,温度センサや油中水分センサを用いて連続で感度良く測定することで,変圧器内の巻線絶縁紙の劣化度を推定できる可能性を見出している(3)

これらの技術により,遠隔地から変圧器を常時監視し状態を把握できるため,メンテナンス業務の省力化や適切な更新時期の予測,異常の予知保全などへの活用が期待できる。

1.3 耐熱紙使用変圧器の劣化診断における課題

2014年にJEC-2200が改定されたことにより,変圧器の巻線絶縁紙にクラフト耐熱処理絶縁紙注4)(以下,耐熱紙)が使用されている(4)。JEC改定前に設置された変圧器に広く用いられているクラフト絶縁紙(以下,普通紙)を用いた場合と比べて,変圧器の温度上昇限度を10 K高めることができると規定されていることから,急速に耐熱紙使用変圧器の普及が進んでいる。

一方で,耐熱紙使用変圧器では,劣化生成物であるCO2+COやフルフラールを指標とする従来の劣化診断が困難である。CO2+COが普通紙使用変圧器と比較して多く生成される事例や,耐熱紙に添加されたアミン系化合物の影響によりフルフラールが非常に少なくなってしまう事例が報告されている(5)。そのため,従来の劣化診断手法の代替となる手法の研究が各所で進められている。

1.4 本研究の着眼点

東光高岳で研究を進めているセンシングによる変圧器の劣化診断技術は,高経年化が進んでいる普通紙使用変圧器を中心として実用化を目指している。この技術は,絶縁紙の劣化生成物を指標とせずに劣化度の推定が可能であることから,従来の劣化診断手法では診断が難しい耐熱紙使用変圧器にも適用できる可能性が考えられる。しかし,耐熱紙の劣化に伴う油温と油中水分量の変化が,普通紙使用変圧器と同様の傾向を示すかは不明であった。そこで,診断技術の前提となっている絶縁油-絶縁紙間の水分平衡関係が,普通紙と耐熱紙で同様の傾向を示していれば,油温と油中水分量の関係についても同様の傾向になると考えた。本研究では,普通紙と耐熱紙で絶縁油-絶縁紙間の水分平衡関係について検証,対比を行い,センシングによる劣化診断が,耐熱紙使用変圧器に適用できるかを明らかにすることを目的とした。

2劣化診断の代替技術

2.1 油温と油中水分量の関係

東光高岳のセンシングによる劣化診断技術の前提となっている絶縁油-絶縁紙間の水分平衡関係について詳しく説明する。変圧器内では,絶縁紙と絶縁油の間で水分が吸脱着することで水分平衡を保っている。油温上昇時には絶縁紙に吸着している水分が脱離することで絶縁油中に拡散し,油温が低下すると絶縁紙に再吸着される。このような水分の吸脱着が生じるため,温度によって水分平衡が変化することが知られている。また,普通紙では絶縁紙の劣化によって絶縁紙の保水力が低下し,水分平衡が絶縁油側にシフトすることが知られている(6)。この現象に着目し,油温と油中水分量の傾向を連続で感度良く測定することで,絶縁紙に吸脱着される水分量から,劣化に伴う水分平衡の変化を検出できると考えた。

2.2 実験的検討

新品の絶縁紙(DP1250)と変圧器の寿命レベルとされる劣化度に調整した絶縁紙(DP350)を用いて,季節や負荷に応じた実変圧器(以下,実器)の油温を模擬したパターンで油温を変化させ,絶縁油-絶縁紙間で吸脱着する水分を油中水分量としてセンサで連続測定した検証を実施している(7)。検証結果の一例を図1に示す。

油温変動に対して,油中水分量はヒステリシスループ状の変化傾向を示しており,油温の変化に伴う水分の吸脱着を感度良く捉えていると考えられる。また,絶縁紙の劣化に伴い油中水分量が増加する方向にループがシフトすることが確認された。これは絶縁紙の劣化により,水分平衡が油側へシフトしているという知見と合致している。以上より油温と油中水分量をセンサで取得することで,絶縁紙の劣化度の推定が可能であると示唆された。

図1 油温変化に対する油中水分量の変化

2.3 実器を用いた検討

既設の経年数の異なる一般産業向け配電用変圧器を用いた実器検証を行った。変圧器の排油弁を介してセンサを取り付け,絶縁油を循環させ連続的に油温と油中水分量のデータを取得した。また,センシングにより推定した劣化度と比較するため,センサ取り付け前に採油を行い,油中CO2+CO量および油中フルフラール量からDPを推定し,DP450を劣化度100%として実器の推定劣化度を求めた。図2に実器での検証風景を,図3に実器から取得した油温と油中水分量の関係を示す。なお,図3では検証範囲内での油温と油中水分量の最大値をそれぞれ1.0としてグラフ化した。劣化の進行とともにプロットが高水分側(上方向)へシフトしている傾向が確認された。また,各変圧器のプロットに対して近似曲線を作成すると,劣化に伴い近似曲線の係数が変化していく傾向が見られた。各変圧器における近似曲線の係数と推定劣化度との間には相関が見られることが確認された。この係数を用いることで,センシングによりオンラインで巻線絶縁紙の劣化度が推定できる可能性が示唆された。

図2 実器検証風景
図3 実器から取得した油温と油中水分量の関係

3耐熱紙使用変圧器への適用検討

3.1 実験方法

2章で示唆された手法が,耐熱紙使用変圧器へ適用できるか確認するため,実験を行った。

ガラスシリンジにDPと紙中水分量を調整した絶縁紙を入れ,脱気した絶縁油を満たした。この際,油と紙の比率が,実際に製造している耐熱紙使用変圧器と同等になるように絶縁紙を秤量した。このシリンジを恒温槽に入れ,所定の温度で水分平衡状態になるまで静置した。JIS C 2101:2010に準拠し,平衡化後の油中水分量を測定した。取得した油中水分量と紙中水分量の関係を油温ごとにプロットし,絶縁油-絶縁紙間の水分平衡関係を比較評価した。表1に実験条件を示す。

表1 実験条件
項目 試験条件
絶縁紙 普通紙:新品(DP991),熱劣化品(DP634,421)
耐熱紙:新品(DP1062),熱劣化品(DP646,578)
絶縁油 鉱油(JIS C 2320:2010絶縁油1種2号)
紙中水分量 0.5%(低水分レベル)
2%(現地据付基準レベル)
4%(高水分レベル)
温度 20℃,50℃,80℃

3.2 実験結果

(1)新品絶縁紙における水分平衡関係の比較

図4に,新品の普通紙・耐熱紙の絶縁紙-絶縁油間の水分平衡関係を示す。普通紙と耐熱紙の水分平衡は,ともに累乗近似で表される曲線となることがわかった。また,耐熱紙は普通紙と比較して,油中水分量が増加する方向に移動していることから,水分平衡が若干油側へシフトする傾向を確認した。

図4 普通紙および耐熱紙の水分平衡関係(新品)

(2)劣化度による水分平衡関係の変化

図5に普通紙,耐熱紙の各DPにおける水分平衡関係を示す。普通紙,耐熱紙のどちらもDPが小さくなるほど油中水分量が増加する方向に移動していることから,耐熱紙においても普通紙と同様に,劣化に伴い水分平衡が油側へシフトする傾向であることが確認できた。

図5 DPごとの水分平衡関係

3.3 考察

得られた実験結果から,普通紙と耐熱紙の水分平衡関係に差が生じる原因や,劣化に伴う油温と油中水分量の関係変化について考察した。

(1)普通紙と耐熱紙の水分平衡の差に関する考察

絶縁紙に対する水分の吸着熱注5)が小さくなると水分平衡が油側へシフトすることが知られている(6)。普通紙と耐熱紙の水分平衡の差が吸着熱の差に起因すると考え,普通紙と耐熱紙の吸着熱を算出し,対比を行った。単分子層吸着注6)に吸着熱の考え方を取り入れた式として,式(1)が報告されている(8)

(x:単分子吸着量,a:定数,c:吸着質の濃度,q:吸着熱,R:気体定数,T:絶対温度)

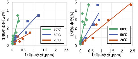
式(1)によれば一定温度における1/xと1/cの関係をプロットし,直線関係が得られる範囲では単分子層吸着が起こっていることになる(6)。本実験は絶縁紙-絶縁油間の水分平衡に関するものであるため,xは紙中水分量,cは油中水分量が当てはまる。各紙種,油温ごとに1/xと1/cの関係をグラフ化したものを図6に示す。普通紙,耐熱紙ともにほぼ直線の関係が得られたことから,本検証の範囲では単分子層吸着が主であると考えられる。これらの直線の近似式から式(1)を用いて吸着熱を計算すると,普通紙の吸着熱は27.84kJ/mol,耐熱紙の吸着熱は24.12 kJ/molと求めることができる。したがって,耐熱紙は普通紙に比べて油中での水分の吸着熱が小さいことから,水分平衡が油側へシフトしていると考えられる。

図6 1/油中水分と1/紙中水分の関係

(2)普通紙と耐熱紙の劣化に伴う油温と油中水分量の関係変化に関する考察

水分平衡時には油中水分量,紙中水分量は一定の値になることから,油/紙の水分濃度比[ppm/%]というパラメータを用いることで,紙中水分量による影響を除いた評価ができると考えた。図7に,普通紙と耐熱紙がそれぞれDP1000のときの油 / 紙の水分濃度比を1とした場合の,DPと水分濃度比の変化率の関係を示す。普通紙と耐熱紙でおおよそ一致する直線となったことから,普通紙と耐熱紙で劣化時の水分濃度比の変化率が近いことを表していると考えられる。したがって,劣化に伴う油温と油中水分量の関係変化も,普通紙と耐熱紙で傾向が近いと予想される。

これは普通紙使用変圧器で取得している実器データを活用して耐熱紙使用変圧器の劣化診断が実現できる可能性があることを示唆している。

図7 DPと水分濃度比の変化率の関係(DP1000 = 1)

4おわりに

普通紙と耐熱紙で水分平衡について検証した結果,普通紙と耐熱紙の水分平衡には差があるが,同様の傾向を示していることがわかった。このことから,従来の劣化診断手法の適用が難しい耐熱紙使用変圧器においても,センシングデータに何らかの補正をすることで,劣化診断ができる可能性が示唆された。

今後はセンシングによる変圧器劣化診断技術について,精度向上を図るとともに,耐熱紙使用変圧器でのセンシングデータ補正方法の検討や耐熱紙を使用した実器での検証を行い,適用範囲を耐熱紙使用変圧器に拡大することを目指していく。変圧器の信頼性向上やメンテナンスの効率化に加え,耐熱紙使用変圧器の劣化診断ニーズに対応すべく,変圧器メンテナンスのスマート化に向けた取り組みに尽力していく。

■参考文献

(1)経済産業省:「電気保安分野スマート保安アクションプラン」,(2021)

(2)電力用変圧器保守管理専門委員会:「油入変圧器の保守管理」,電気協同研究,Vol.54,No.5(その1),(1999)

(3)出井和弘,折戸由貴,栗原二三夫:「センシングによる受変電設備の状態診断技術」,東光高岳技報,No.9,(2022)

(4)電気規格調査会標準規格,JEC-2200-2014,変圧器

(5)宮城克徳,大江悦男,山形直樹:「耐熱絶縁紙の油中加熱劣化特性と劣化メカニズムの推定」,電気学会論文誌B,Vol.31,No.1,(2011)

(6)「絶縁油と絶縁物の水分平衡関係専門委員会活動報告」,石油学会絶縁油分科会技術資料,No.07034,(2007)

(7)栗原二三夫,出井和弘:「変圧器メンテナンスのスマート化へ向けた状態診断技術の開発」,電気現場,11月号,(2021)

(8)石井敏次,上田万次郎:「プレスボードの誘電的性質に及ぼす吸湿機構の影響」,電気学会雑誌,Vol.87-11,No.950,(1967)

■語句説明

注1) 平均重合度:高分子化合物を構成する繰り返し単位の数を重合度(DP)とよぶ。重合度には分布があるため平均値を用いる。絶縁紙の化学構造はセルロースを単位構造とし,新品絶縁紙のDPは約1,000程度とされる。劣化とともにDPは減少する。

注2) フルフラール:絶縁紙の劣化指標の一つ。経年劣化などで,絶縁紙を構成するセルロースが分解した際に生成される物質。絶縁油中に溶解する。

注3) 水分平衡関係:物質間の水分の吸脱着により水分量が一定割合に保たれる状態。本稿では絶縁紙中の水分が油温や絶縁紙の劣化の影響で油中に溶出し,紙中水分量と油中水分量が一定の割合に保たれること。

注4) クラフト耐熱処理絶縁紙:添加剤を加えるなどの処理により耐熱性を向上させた絶縁紙。

注5) 吸着熱:気体や液体の分子が固体表面に吸着する際に変化するエネルギー。

注6) 単分子層吸着:吸着質が固体表面を分子1層で覆う状態。本稿では吸着質は水分,固体は絶縁紙である。

陳 誠
戦略技術研究所 技術開発センター
材料技術グループ 所属

出井 和弘
戦略技術研究所 技術開発センター
材料技術グループ 所属

栗原 二三夫
戦略技術研究所 技術開発センター
材料技術グループ 所属

お問い合わせはこちら
お問い合わせ
製品・サービスに関する資料はこちら
資料ダウンロード
ページの先頭に戻る